2026-02-03309
离子交换树脂是一种能实现离子精准分离、提纯与回收的功能材料,它凭借独特的结构和工作原理,成为冶金、化工、半导体、饮用水净化等多个行业的离子调控高手。今天就来拆解它的核心原理,讲讲它能横扫多领域的关键优势。
一、离子交换树脂是什么?
离子交换树脂是不溶于水和常见溶剂的三维网状高分子聚合物,核心结构由骨架和官能团两部分组成,缺一不可:
1. 聚合物骨架
由苯乙烯与二乙烯基苯等原料共聚而成,是树脂的稳定支撑体。它质地坚固且多孔,确保树脂在各类溶液体系中不会溶解,仅发生轻微溶胀。
2.可电离官能团
离子交换树脂的核心功能,源于其表面接枝的可电离官能团,这是区分不同树脂应用场景的基础。
阳离子交换树脂的结构如图a所示,它具有带负电荷的可电离官能团,可在溶液中交换带正电荷的抗衡离子;
阴离子交换树脂如图b所示,具有带正电荷的可电离官能团,可在溶液中交换带负电荷的抗衡离子;
混合床树脂则结合了阳离子交换树脂和阴离子交换树脂,可有效从溶液中去除两类离子。
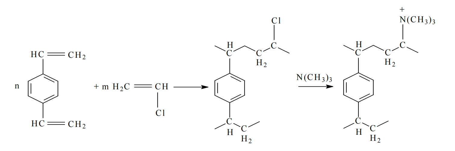
反应示例:通过二乙烯基苯与氯乙烯的共聚反应,按照图中所示方案进行氨基接枝,即可获得弱碱性和强碱性阴离子交换树脂。
根据其表面接枝的官能团性质,树脂主要分为四大类,其差异直接影响处理对象和pH适应范围:
而科海思拥有嫁接了多种高选择性官能团的离子交换树脂,可针对不同溶液场景,选择性吸附目标离子而不干扰其他离子。
二、树脂的离子交换原理
离子交换树脂的核心作用原理,是基于静电作用的可逆离子置换反应。树脂官能团上的可交换离子,会与溶液中的目标离子进行等量交换,从而实现离子的分离、提纯或去除。
主要分为两种反应模式:
1. 阳离子交换反应:树脂官能团上的可交换阳离子(如H⁺、Na⁺),会与溶液中的阳离子(如重金属离子、钙镁离子)发生置换。
举两个不同行业的例子:
·饮用水软化:树脂释放Na⁺,捕获水中的Ca²⁺、Mg²⁺,降低水的硬度,反应式可简化为:
·冶金行业金属回收:强酸性阳离子树脂释放H⁺,吸附矿液中的Cu²⁺、Ni²⁺,实现贵金属富集提纯。
2. 阴离子交换反应
树脂官能团上的可交换阴离子(如OH⁻、Cl⁻),会与溶液中的污染阴离子或目标阴离子置换。
典型应用场景:
半导体超纯水制备:强碱性阴离子树脂释放OH⁻,去除水中微量的Cl⁻、SO₄²⁻等杂质阴离子,满足芯片生产的超高水质要求;
化工行业除硝酸盐:树脂吸附废水中的NO₃⁻,实现达标排放或资源回收。
关键特性:离子交换反应是可逆的。
当树脂吸附饱和后,用特定浓度的酸、碱或盐溶液处理,就能将截留的离子置换出来,树脂可恢复吸附能力,循环使用。
三、为什么离子交换树脂能横扫多领域?
1. 高效精准,满足严苛标准
它能捕捉溶液中痕量级的目标离子,无论是饮用水中微克级的重金属,还是半导体超纯水中的微量杂质,都能被高效截留。处理精度高,轻松满足各行业的严格指标要求。
2. 可重复再生,降低运行成本
树脂吸附饱和后无需丢弃,通过再生工艺即可恢复性能,循环使用次数可达数十次甚至上百次。这不仅减少了危废产生量,还大幅降低了各行业的耗材成本。
3. 资源回收增值,变废为宝
再生过程中,被置换出来的离子会被富集浓缩。冶金行业可回收贵金属,化工行业可回收有用原料,实现“处理污染+资源再生”的双重收益。
4.适用范围广,覆盖多行业需求
从饮用水净化、工业废水处理,到冶金金属回收、化工提纯、半导体超纯水制备,再到医药行业的药物提纯、食品行业的糖液脱色,离子交换树脂都能发挥关键作用,是名副其实的多面手。
四、小总结
离子交换树脂靠“聚合物骨架+可电离官能团”的独特结构,通过可逆离子置换反应,实现对溶液中离子的精准调控。它高效、可循环、适配性强的特点,让它在水与溶液治理的全领域大放异彩,为各行业的绿色发展和高质量生产提供了核心支撑。
了解水处理工艺或案例详情
请扫描下方二维码
技术热线:400-838-8151
